O que é densidade de pixels e como isso afeta a qualidade da imagem?

Sep 22, 2025
Explantadores
Brightrainbow / Shutterstock.com.

Se você estiver comprando um monitor de computador ou smartphone, poderá ver o termo "densidade de pixel" usada nos materiais de marketing. Medido em pixels por polegada (PPI), a densidade de pixel está intimamente relacionada à qualidade de imagem percebida, portanto, entender esta medição pode ajudá-lo a fazer uma melhor escolha.

É maior densidade de pixel sempre melhor?

A densidade de pixel refere-se diretamente ao número de pixels em uma determinada área. A densidade de pixel é geralmente medida em pixels por polegada (PPI) por conta de tamanhos de tela também sendo vendidos em polegadas, mas pixels por centímetro (PPCM) é por vezes usado também.

Quanto maior a densidade do pixel, mais difícil é distinguir pixels individuais com os olhos nus. Alguns dispositivos têm uma densidade de pixel muito maior do que outras, por exemplo, o iPhone 12 tem uma densidade de pixels de 460ppi, o que significa que para cada polegada quadrada do display existem 460 pixels.

Ilya akinshin / shutterstock.com

Compare isso com um 55 polegadas 4K Television. , que tem uma densidade de pixel de apenas 80.11ppi. É muito mais fácil distinguir pixels individuais em uma TV, com pixels em um iPhone 12 sendo difícil ou impossível fazer, mesmo se você estiver segurando a exibição muito perto do seu rosto.

A densidade de pixel é algo que você deve ter em mente, particularmente se você se acostumar com um dispositivo com um grande número de pixels por polegada. Por exemplo, se você está se movendo de uma exibição de laptop de 15 "para um maior Monitor de desktop , Entendendo como a resolução e o tamanho da tela afetam a densidade do pixel garantirão que você não esteja desapontado com a densidade de pixels comparativamente inferior de grandes monitores de desktop.

Calcular a densidade de pixels

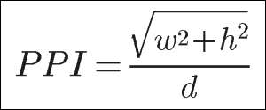
Para calcular a densidade do pixel no PPI, você precisa de duas medições: a resolução da tela (largura e altura) e o tamanho diagonal em polegadas. Primeiro, você precisa resolver a largura diagonal em pixels, enfrentando a altura e a largura, adicionando os dois números juntos e pegando a raiz quadrada.

A partir daqui você pode dividir o comprimento diagonal em pixels pelo comprimento diagonal em polegadas para obter a densidade do pixel no PPI. Isso pode ser expresso como a seguinte fórmula matemática, onde C é largura, H. é altura e D. é o tamanho da tela diagonal em polegadas:

Se desmembrar a calculadora parece muito trabalho, você também pode usar ferramentas on-line para realizar este cálculo para você como Calculatorsoup , Calculadora omni. , e Calculadora do rei .

Para calcular qualquer uma dessas densidades de pixels em Medições métricas , converta polegadas para centímetros e você receberá a medição do PPCM.

A distância de visualização é importante também

A distância de visualização faz uma enorme diferença quando se trata de densidade de pixels. Enquanto uma televisão 4K tem uma densidade de pixel muito menor do que um smartphone, na distância típica de visualização, o efeito percebido é o mesmo. Você só deve comparar como semelhante quando se trata de densidade de pixels. Comparando um smartphone para outro é um exemplo.

Embora uma métrica importante, a densidade do pixel é apenas uma medição da qualidade da imagem. Outros fatores importantes incluem o Tipo de painel de exibição que você escolher , Relação de contraste. , e Brilho máximo saída.


Explantadores - Artigos mais populares

Qual é o modo de transparência e como funciona em fones de ouvido?

Explantadores Sep 8, 2025

Hadrian / shutterstock.com. A Apple popularizou um recurso chamado "modo de transparência" em seus fones de ouvido Airpods pro firmes. O recurso foi posterior..


O que é o teste beta?

Explantadores Oct 15, 2025

Apenas vida / shutterstock.com Você descobriu que um aplicativo usa tem uma "versão beta" ou recursos que estão "em beta?" O teste beta é uma parte cruci..


Um cartão SD caro melhorará o desempenho do interruptor da Nintendo?

Explantadores Oct 11, 2025

Nintendo. Se você tem um encaixável Interruptor da Nintendo , o portátil Switch Lite. ou o melhorado Switch OLED. , você provavelment..


O que significa "serif" e "sans serif"?

Explantadores Oct 10, 2025

Se você já esteve na caça pela fonte perfeita, há dois termos que você provavelmente notou - "Serif" e "Sans Serif". Sabendo o que esses termos significam ajudarão você a entender m..


Por que as pessoas gastam muito dinheiro em MacBooks?

Explantadores Nov 26, 2024

Há muitas palavras que você pode usar para descrever um MacBook, mas "barato" não é um deles. É verdade para o preço, e também da experiência geral do usuário. Enquanto não para ..


O que é um painel de comutação de avião (IPS)?

Explantadores Nov 21, 2024

Lukmanazis / shutterstock.com. Ao comprar um monitor, você pode se deparar com o termo IPS, curto para "comutação no avião" para descrever um determinado..


O que é uma semente, e por que você quer um?

Explantadores Nov 18, 2024

l i g h t p o e t / shutterstock.com Seedboxes oferecem uma solução de alto desempenho quando se trata de participar de serviços de compartilhamento de arqu..


G-Sync Compatível vs. G-Sync: Qual é a diferença?

Explantadores Nov 1, 2024

Monitores de taxa de atualização variável vêm em alguns sabores diferentes. A implementação da NVIDIA é conhecida como G-Sync, mas há duas variações: Sync padrão e sincronizaç�..


Categorias